Spring Sale Special Limited Time 70% Discount Offer - Ends in 0d 00h 00m 00s - Coupon code: scxmas70

200-201 Exam Dumps - Understanding Cisco Cybersecurity Operations Fundamentals (CBROPS)

Searching for workable clues to ace the Cisco 200-201 Exam? You’re on the right place! ExamCert has realistic, trusted and authentic exam prep tools to help you achieve your desired credential. ExamCert’s 200-201 PDF Study Guide, Testing Engine and Exam Dumps follow a reliable exam preparation strategy, providing you the most relevant and updated study material that is crafted in an easy to learn format of questions and answers. ExamCert’s study tools aim at simplifying all complex and confusing concepts of the exam and introduce you to the real exam scenario and practice it with the help of its testing engine and real exam dumps

Go to page:
Question # 113

During which phase of the forensic process is data that is related to a specific event labeled and recorded to preserve its integrity?

A.

examination

B.

investigation

C.

collection

D.

reporting

Full Access
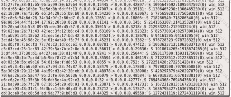
Question # 114

Refer to the exhibit.

Which type of attack is represented?

A.

TCP/SYN flooding

B.

UDP flooding

C.

IP flooding

D.

MAC flooding

Full Access
Question # 115

What is a key difference between a tampered and an untampered disk image during a forensic investigation?

A.

An untampered image is encrypted, and a tampered one is not encrypted.

B.

A tampered image has a different hash value, and an untampered image has an unchanged hash value.

C.

A tampered image is accessible only by administrators, and an untampered one is accessible by all users.

D.

An untampered image is compressed, and a tampered one is left uncompressed.

Full Access
Question # 116

What describes a buffer overflow attack?

A.

injecting new commands into existing buffers

B.

fetching data from memory buffer registers

C.

overloading a predefined amount of memory

D.

suppressing the buffers in a process

Full Access
Question # 117

Which type of evasion technique is accomplished by separating the traffic into smaller segments before transmitting across the network?

A.

tunneling

B.

fragmentation

C.

encryption

D.

proxies

Full Access
Question # 118

Which principle reduces the risk of attackers gaining access to sensitive data by compromising a low-level user account?

A.

least privilege

B.

privilege separation

C.

limited access

D.

separation of duties

Full Access
Question # 119

Which two protocols are used for DDoS amplification attacks? (Choose two.)

A.

ICMPv6

B.

DNS

C.

NTP

D.

TCP

E.

HTTP

Full Access
Question # 120

In a SOC environment, what is a vulnerability management metric?

A.

code signing enforcement

B.

full assets scan

C.

internet exposed devices

D.

single factor authentication

Full Access
Go to page: